东方时刊

三晋书画文化名人 李来禹

2026-04-22 11:06:11 [返回列表]

三晋书画文化名人 李来禹

李来禹,山西省临汾市侯马市人,笔名休言、禹,室名紫金阁、禹斋。现为山西黄河书画院中国国画院特约成员山西老年书画家协会会员、侯马市书画家协会会员

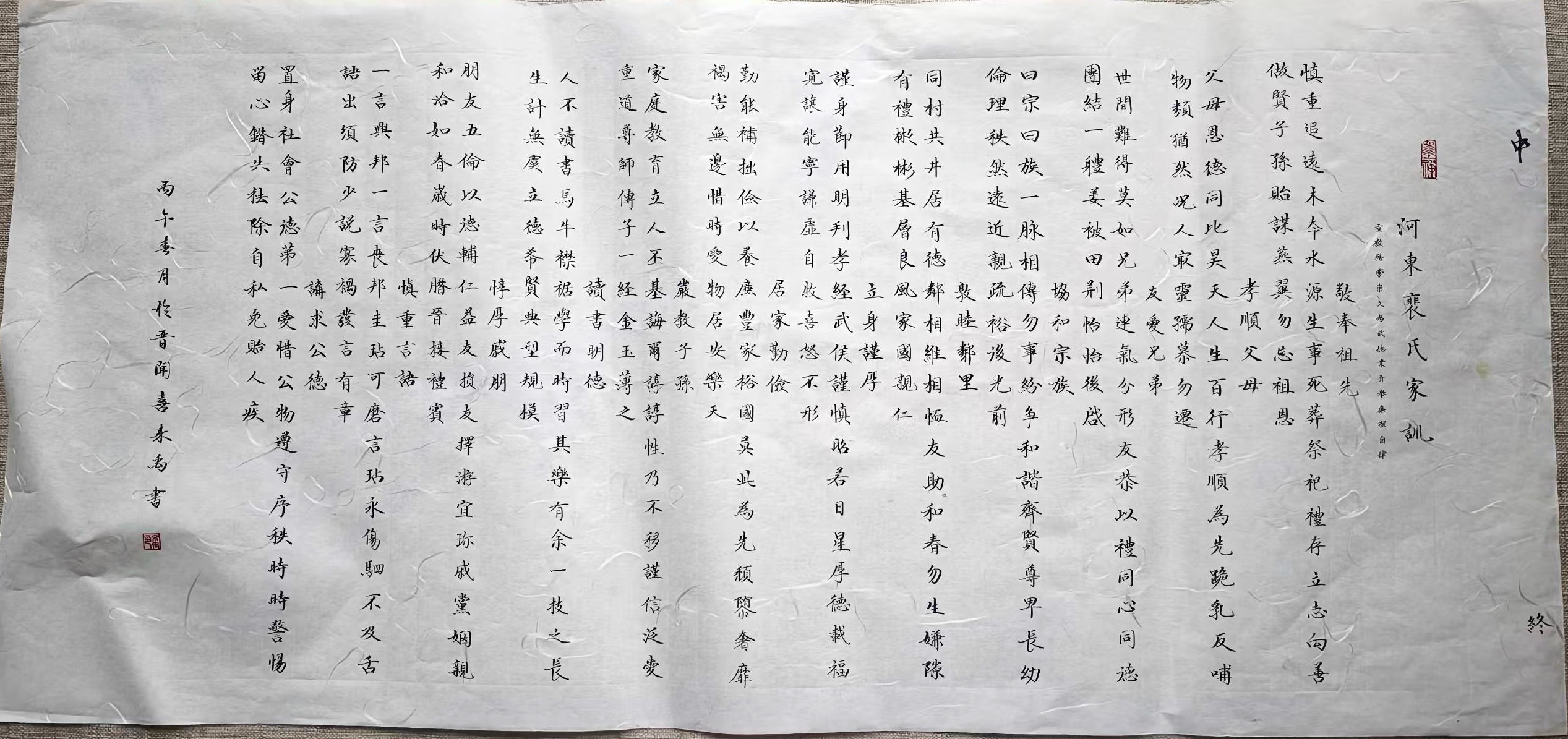
自幼喜爱书画,后曾临摹欧、赵、文等名家字帖,多年来得到不少书法名家的指教,后师从国家著名书法艺术家赵国法老及中国国画院谷雁冰院长门下,得其教诲,潜心揣摹,追求新境,用笔刚健,灵动多彩,尤以小楷见长,给人以饱满清晰秀丽之美惑,受到大众的好评。愿以弘扬民族文化,为中国书法艺术竭尽毕生之力。

三晋书画文化名人 李来禹(图1)三晋书画文化名人 李来禹(图2)三晋书画文化名人 李来禹(图3)

三晋书画文化名人 李来禹(图4)

三晋书画文化名人 李来禹(图5)

三晋书画文化名人 李来禹(图6)

三晋书画文化名人 李来禹(图7)

三晋书画文化名人 李来禹(图8)

三晋书画文化名人 李来禹(图9)

三晋书画文化名人 李来禹(图10)

三晋书画文化名人 李来禹(图11)

三晋书画文化名人 李来禹(图12)

三晋书画文化名人 李来禹(图13)

三晋书画文化名人 李来禹(图14)

三晋书画文化名人 李来禹(图15)

三晋书画文化名人 李来禹(图16)

三晋书画文化名人 李来禹(图17)

三晋书画文化名人 李来禹(图18)

三晋书画文化名人 李来禹(图19)




×